Prof. Dr. Seydi Ahmet Satıcı 1. aşama bulgularını sundu
Proje Bilgilendirme Toplantısı Tamamlandı
Projemizin ilk aşamasının tamamlanmasının ardından, genç araştırmacılar, akademisyenler ve lisansüstü öğrencilerin katılımı ile bir bilgilendirme toplantısı gerçekleştirildi. Proje yürütücüsü Prof. Dr. Seydi Ahmet SATICI, araştırmanın nicel boyutunda yer alan katılımcılar ve elde edilen ön bulgular hakkında kapsamlı bir sunum yaptı.
Araştırma Bulguları
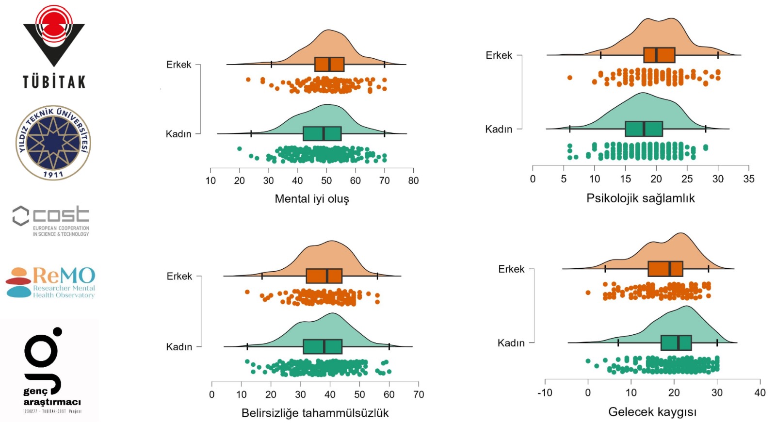
Nicel çalışmamızın birinci aşamasında genç araştırmacıların mental iyi oluşları, gelecek kaygıları, belirsizliğe tahammülsüzlükleri ve psikolojik sağlamlıkları incelendi. Elde edilen bulgulara göre, cinsiyet, eğitim kademesi, akademik görev alanı ve ilişki durumuna göre araştırmacıların psikolojik yapılarında anlamlı farklılıklar tespit edildi.
Cinsiyet: Erkek genç araştırmacıların mental iyi oluşları ve psikolojik sağlamlıkları, kadın araştırmacılara göre anlamlı derecede daha yüksek bulundu. Ayrıca erkek genç araştırmacıların kadın meslektaşlarına kıyasla daha az gelecek kaygısı yaşadığı gözlemlendi.
Eğitim Kademesi: Eğitim kademesine göre genç araştırmacıların mental iyi oluşları ve gelecek kaygıları anlamlı farklılık gösterdi. Ders dönemi ve tez dönemindeki genç araştırmacıların mental iyi oluşları daha yüksek, gelecek kaygıları ise daha düşük bulundu. En yüksek gelecek kaygısının, doktora yeterlik aşamasında olduğu saptandı. Bu dönemde belirsizliğe tahammülsüzlük de artış gösterdi. Tez döneminde ise bu durum daha sağlıklı düzeylere ulaştı.
Akademik Görev Alanı: Öğretim görevlileri ve başka kurumlarda çalışırken doktora yapan araştırmacıların, araştırma görevlilerine kıyasla daha iyi bir mental iyi oluşa sahip olduğu görüldü.
Alan: Eğitim bilimleri alanında doktora yapan genç araştırmacıların, mühendislik alanında doktora yapan araştırmacılara kıyasla daha yüksek iyi oluşa sahip olduğu saptandı.
İlişki ve Medeni Durum: Bekar veya evli olan araştırmacıların, romantik ilişki içinde olan araştırmacılara göre daha az gelecek kaygısı ve belirsizliğe tahammülsüzlük yaşadıkları belirlendi.
Çocuk Sahibi Olma: Çocuk sahibi olmanın mental iyi oluş, gelecek kaygısı, belirsizliğe tahammülsüzlük ve psikolojik sağlamlık değişkenlerinde herhangi bir farklılık yaratmadığı saptandı.
Bu bulgular, genç araştırmacıların farklı demografik ve akademik özelliklerine göre psikolojik yapılarını anlamada önemli bilgiler sunmaktadır. Projemizin ikinci aşamasında, bu bulgular ışığında detaylı analizler yapılarak daha kapsamlı sonuçlar elde edilecektir.
Prof. Dr. Seydi Ahmet SATICI'nın birinci aşama bulgularına ait sunumuna ulaşmak için tıklayınız.

